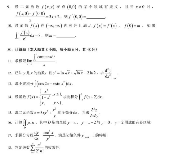
【导读】对于很多报考广东专插本的考生,高数是一门挑战性极高的考试科目,也有很多考生为了避免考高数而放弃专插本,为了帮助到大家,广东专插本网为大家整理出2021年广东专插本高数预测真题试卷,快来看看吧!



留给你专插本考试备考时间不多了,如果还不知道如何去复习,可以扫描右边二维码,进入广东专插本学校交流群与其他志同道合的考生一起学习,还可以在线咨询专业老师解答你的疑难问题!
想获取更多关于广东专插本高数真题的相关资讯:,如专插本考试2021年报名时间、试题题库、报考条件、备考知识、相关新闻等,敬请关注广东专插本(zcby.net)
【相关文章推荐】2020广东专插本高等数学:导数与微分定理

广东专升本声明
(一)由于考试政策等各方面情况的不断调整与变化,本网站所提供的考试信息仅供参考,请以权威部门公布的正式信息为准。
(二)本网站在文章内容来源出处标注为其他平台的稿件均为转载稿,免费转载出于非商业性学习目的,版权归原作者所有。如您对内容、版权等问题存在异议请于我们联系,我们会及时处理。
文章来源于网络,如有侵权,请联系删除

升本简章
咨考老师
招生计划
新手指南
报名入口
录取情况 


